Jumat, 31 Maret 2017

Riset Operasi “Metode Transportasi”


Riset Operaasi
“Metode Transportasi”

Merupakan suatu metode yang digunakan untuk mengatur distribusi dari sumber-sumber yang menyediakan produk yang sama, ke tempat-tempat yang membutuhkan secara optimal.
Metode transportasi berhubungan dengan distribusi suatu produk tunggal dari beberapa sumber, dengan penawaran terbatas, menuju ke beberapa tujuan dengan permintaan tertentu. Asumsi dasar model ini adalah biaya transport pada suatu rute tertentu proporsional dengan banyaknya unit yang dikirimkan.
Pada model transportasi, yang harus diperhatikan adalah bahwa total kuantitas pada seluruh baris harus sama dengan total kuantitas pada seluruh kolom, jika tidak, maka perlu ditambahkan kuantitas dummy.

Karakteristik dari metode transportasi adalah :
1) Suatu barang dipindahkan (transported), dari sejumlah sumber ke tempat tujuan dengan biaya seminimum mungkin.
2) Atas barang tersebut tiap sumber dapat memasok suatu jumlah yang tetap dan tiap tempat tujuan mempunyai jumlah permintaan yang tetap.

Model dari metode trasportas dapat digambarkan seperti yang tertera pada Gambar 1.

Gambar 1. Model Metode Transportasi

Keterangan Gambar 1 :
·         a1, a2, ..., am   = Jumlah supply (pasokan) pada sumber ke 1, 2, ..., m.
·         bA, bB, ..., bn  = Jumlah demand (permintaan) pada sumber ke A, B, ..., n.
·        c1A, ..., cmn     = Biaya yang terjadi akibat perpindahan dari sumber ke tujuan
  (dari sumber 1 ke A, ..., dari sumber m ke n).
·         x1A, ..., xmn    = Jumlah yang terjadi akibat perpindahan dari sumber ke tujuan
(dari sumber 1 ke A, ..., dari sumber m ke n).

Untuk membantu penyelesaian masalah metode transportasi, digunakan alat bantu berupa tabel seperti yang tertera pada tabel 1 yang disebut tabel tansportasi.

Tabel 1. Model Tabel Transportasi
 
Untuk menyelesaikan masalah transportasi, terdapat beberapa metode yang dapat digunakan, beberapa yang akan dibahas dalam materi ini, antara lain :
1) Metode North West Corner (NWC).
2) Metode Least Cost (LC).
3) Metode Vogel’s Approximation Method (VAM).

Metode North West Corner (NWC)
Merupakan metode yang memulai langkah awalnya dari pojok kiri atas. Langkah-langkah untuk menyelesaikan masalah transportasi dengan menggunakan metode ini, adalah sebagai berikut :
1) Mulai dari sudut kiri atas (x1A), alokasikan sejumlah maksimum produk dengan melihat jumlah pasokan dan permintaan (atau supply dan demand).
2) Kemudian, bila xmn merupakan kotak terakhir yang dipilih, lanjutkan dengan mengalokasikan pada xm,n+1 (kotak sebelah kanan dari kotak terpilih pada baris yang sama) bila n mempunyai kapasitas permintaan (demand) yang tersisa.
3) Bila tidak (kapasitas permintaan/demand pada baris kotak terpilih sudah terpenuhi), maka alokasikan ke xm+1,n (kotak di bawah kotak terpilih), dan seterusnya sehingga semua kebutuhan telah terpenuhi.


Contoh Soal
Ada 3 kota tempat penyimpanan beras yaitu 1, 2, dan 3, yang akan mengirim ke 3 tempat penggilingan beras yang berlokasi di A, B, dan C dengan menggunakan kereta api, dimana tiap gerbongnya memuat 1 ton beras. Data pasokan beras dan data permintaan beras untuk setiap bulannya, serta data biaya pengiriman dapat dilihat pada tabel berikut.


Permasalahannya adalah untuk menentukan banyak beras (ton) yang harus dikirim dari tiap kota tempat penyimpanan ke tiap lokasi penggilingan setiap bulannya agar total biaya transportasi minimum.

Penyelesaian Masalah Transportasi Dengan Metode NWC
1) Distribusikan data yang ada di soal ke dalam tabel transportasi seperti berikut ini. (Lihat Tabel 2).
2) Mulai dari pojok kiri atas (x1A), dengan jumlah supply = 200 dan demand = 150, maka jumlah maksimum yang dapat dialokasikan pada x1A = 150 (sejumlah demand), karena jika dialokasikan sebesar 200 (sejumlah supply) akan melebihi kapasitas demand. Dari alokasi x1A ini, maka x1B dan x1C yang berada pada baris yang sama (baris 1) tidak perlu di alokasikan (=0). Sehingga tabel akan menjadi seperti berikut ini. (Lihat Tabel 3).
3) Karena baris 1 sudah memenuhi demand (n tidak ada sisa) sehingga alokasi pada xm,n+1 (kotak sebelah kanan dari kotak terpilih pada baris yang sama, yaitu x1B) tidak dapat dilakukan, maka lanjutkan alokasi ke xm+1,n (kotak di bawah kotak terpilih), dalam hal ini yaitu x2A. Dengan jumlah supply = 200, namun telah digunakan x1A = 150, maka sisa jumlah supply = 50, dan demand = 175, sehingga jumlah maksimum yang dapat dialokasikan pada x2A = 50 (sejumlah sisa dari supply) dan x3A tidak perlu dialokasikan (=0). (Lihat Tabel 4).
4) Karena baris 2 belum memenuhi demand (n masih ada sisa), maka lakukan alokasi pada xm,n+1 (kotak sebelah kanan dari kotak terpilih pada baris yang sama), dalam hal ini yaitu x2B. Dengan jumlah supply = 100, dan demand = 175, namun telah digunakan x1B = 50, maka sisa jumlah demand = 125, sehingga jumlah maksimum yang dapat dialokasikan pada x2B = 100 (sejumlah supply), dan x3B tidak perlu dialokasikan (=0). (Lihat Tabel 5).
5) Karena baris 2 belum memenuhi demand (n masih ada sisa), maka lakukan alokasi pada xm,n+1 (kotak sebelah kanan dari kotak terpilih pada baris yang sama), dalam hal ini yaitu x2C. Dengan jumlah supply = 300, dan demand = 175, namun telah digunakan x1B = 50 dan x2B = 100, maka sisa jumlah demand = 25, sehingga jumlah maksimum yang dapat dialokasikan pada x2C = 25 (sejumlah sisa dari demand). (Lihat Tabel 6).
6) Karena xm,n+1 (kotak sebelah kanan dari kotak terpilih) tidak dapat dilakukan, maka lanjutkan alokasi ke xm+1,n (kotak di bawah kotak terpilih), dalam hal ini yaitu x3C. Dengan jumlah supply = 300, namun telah digunakan x2C = 25, maka sisa jumlah supply = 275, dan demand = 275, sehingga jumlah maksimum yang dapat dialokasikan pada x3C = 275 (sejumlah sisa dari supply dan demand). (Lihat Tabel 7).


7) Karena semua telah teralokasi maja telah dicapai solusi optimal. Sehingga alokasi optimal dari metode NWC adalah x1A= 150, x1B= 0, x1C= 0, x2A= 50, x2B= 100, x2C= 25, x3A= 0, x3B= 0, dan x3C= 275.
8) Menghitung biaya pengiriman yang harus dikeluarkan dengan persamaan sebagai berikut.

Jadi biaya pengiriman (transportasi) adalah sebesar $5925.


Metode Least Cost (LC)
Metode ini jauh lebih baik secara umum jika dibandingkan dengan metode NWC. Hal ini karena dalam metode LC mempertimbangkan hal-hal yang ada dalam metode transportasi, yaitu biaya selnya, sehingga mendekati solusi optimal yang diinginkan. Sel yang memiliki biaya-biaya yang tertinggi otomatis tidak akan terpakai, tetapi jika ada sel yang memiliki biaya yang sama, maka penentuan sel yang akan di isi dapat dilakukan secara bebas.
Langkah-langkah dalam menyelesaikan permaslahan transportasi dengan metode ini adalah sebagai berikut :
1) Mulai dari kotak/sel yang memiliki biaya paling keci/minimal, kemudian alokasikan jumlah produk semaksimal mungkin dengan melihat jumlah pasokan dan permintaan (atau supply dan demand).
2) Selanjutnya pilih kembali kotak/sel yang memiliki biaya paling kecil/minimal kecuali kotak/sel yang sudah dipilih dan kotak/sel yang sudah tidak mungkin di alokasikan jumlah produk. Kemudian alokasikan jumlah produk di kotak/sel yang dipilih dengan memeprhatikan jumlah pasokan dan permintaan (atau supply dan demand).

Penyelesaian Masalah Transportasi Dengan Metode LC
Dengan menggunakan contoh soal yang sama pada metode NWC, berikut akan disajikan penyelesaian masalah dengan metode LC.
1) Distribusikan data yang ada di soal ke dalam tabel transportasi seperti berikut ini. (Lihat Tabel 8).
2) Pilih kotak/sel yang memiliki biaya paling kecil/minimal, dalam hal ini adalah x3A dengan biaya sebesar $4. Kemudian alokasikan sejumlah produk semaksimal mungkin dengan melihat jumlah supply dan demand. Dengan jumlah supply = 200, dan demand = 275, maka jumlah yang dapat dialokasikan pada x3A = 200 (sesuai jumlah supply), sehingga x1A dan x2A tidak perlu dialokasikan. (Lihat Tabel 9).
3) Pilih kembali kotak/sel yang memiliki biaya paling kecil/minimal (tanpa x3A, x1A, dan x2A yang sudah tidak mungkin dialokasikan), dalam hal ini adalah x3B dengan biaya $5. Dengan jumlah supply = 100, dan demand = 275, namun telah digunakan oleh x3A = 200, maka sisa jumlah demand = 75, sehingga jumlah yang dapat dialokasikan pada x3B = 75 (sesuai sisa jumlah demand), dan x3C tidak perlu dialokasikan. (Lihat Tabel 10).
4) Pilih kembali kotak/sel yang memiliki biaya paling kecil/minimal (tanpa kotak/sel yang sudah tidak mungkin dialokasikan), dalam hal ini adalah x1B dengan biaya $8. Dengan jumlah supply = 100, namun telah digunakan oleh x3B = 75, maka sisa jumlah supply = 25, dan demand = 150, sehingga jumlah yang dapat dialokasikan pada x1B = 25 (sesuai sisa jumlah supply), dan x2B tidak perlu dialokasikan. (Lihat Tabel 11).
5) Pilih kembali kotak/sel yang memiliki biaya paling kecil/minimal (tanpa kotak/sel yang sudah tidak mungkin dialokasikan), dalam hal ini adalah x1C dengan biaya $10. Dengan jumlah supply = 300, dan demand = 150, namun telah digunakan oleh x1B = 25, maka sisa jumlah demand = 125, sehingga jumlah yang dapat dialokasikan pada x1C = 125 (sesuai sisa jumlah demand). (Lihat Tabel 12).
6) Kotak terakhir yang masih dapat dialokasikan adalah x2C dengan biaya $11. Dengan jumlah supply = 300, namun telah digunakan oleh x1C = 125, maka sisa jumlah supply = 175, dan demand = 175, sehingga jumlah yang dapat dialokasikan pada x2C = 175 (sesuai sisa jumlah supply dan demand). (Lihat Tabel 13).





7) Karena sudah tidak ada lagi kotak/sel yang tersisa, maka solusi optimal sudah dicapai. Alokasi optimal dengan metode LC adalah x1A= 0 ; x1B= 25 ; x1C= 125 ; x2A= 0 ; x2B= 0 ; x2C= 175 ; x3A= 200 ; x3B= 75 ; x3C= 0
8) Menghitung biaya pengiriman yang harus dikeluarkan dengan persamaan sebagai berikut.
Jadi biaya pengiriman (transportasi) adalah sebesar $4550.



Metode Vogel’s Approximation Method (VAM)
Bila dibandingkan dengan dua metode sebelumnya, metode ini jauh lebih baik lagi (lebih mendekati solusi optimal). Namun metode ini relative lebih rumit dalam menentukan solusi.
Langkah-langkah dalam meyelesaikan masalah transportasi dengan metode VAM adalah sebagai berikut.
1) Susunlah kebutuhan, kapasitas masing-masing sumber, dan biaya pengangkutan ke dalam matrik (tabel).
2) Carilah perbedaan dari dua biaya terkecil (dalam nilai absolut), yaitu biaya terkecil dan terkecil kedua untuk tiap baris dan kolom pada matrik (tabel).
3) Pilihlah 1 nilai perbedaan yang terbesar di antara semua nilai perbedaan pada kolom dan baris.
4) Alokasikan semaksimal mungkin jumlah produk pada kotak/sel yang termasuk dalam kolom atau baris terpilih, yaitu pada kotak/sel yang biayanya terendah di antara kotak/sel lain pada kolom/baris itu. Untuk alokasinya perhatikan kapasitas supply dan demand yang ada.

Penyelesaian Masalah Transportasi Dengan Metode VAM
Dengan menggunakan contoh soal yang sama pada metode NWC, berikut akan disajikan penyelesaian masalah dengan metode LC.
1) Menyusun kebutuhan, kapasitas masing-masing sumber, dan biaya pengangkutan ke dalam matrik (tabel). (Lihat Tabel 14).
2) Mencari perbedaan dari dua biaya terkecil (dalam nilai absolut), yaitu biaya terkecil dan terkecil kedua untuk tiap baris dan kolom pada matrik (tabel). Hasilnya dapat dilihat pada Tabel 15, dua biaya terkecil pada baris ditunjukkan dengan lingkaran warna merah, sedangkan dua biaya terkecil pada kolom ditunjukkan dengan warna ungu.
3) Memilih 1 nilai perbedaan yang terbesar di antara semua nilai perbedaan pada kolom dan baris. Dari hasil pada tabel 15, nilai perbedaan terbesar adalah 4 yaitu pada baris 2.
4) Memilih kotak/sel pada baris/kolom yang memiliki nilai perbedaan terbesar dengan biayanya terendah di antara kotak/sel lain pada kolom/baris itu. Dalam hal ini pada baris 2, kotak/sel x2A adalah yang dipilih. Kemudian alokasikan semaksimal mungkin jumlah produk pada kotak/sel yang termasuk dalam kolom atau baris terpilih. Dengan jumlah supply = 200, dan demand = 175, sehingga jumlah yang dapat dialokasikan pada x2A = 175 (sesuai jumlah demand), dan x2B serta x2C tidak perlu dialokasikan. (Lihat Tabel 16).
5) Lakukan kembali langkah penyelesaian ke-2. Hasilnya pada Tabel 17.
6) Lakukan kembali langkah penyelesaian ke-3. Dari hasil pada tabel 17, nilai perbedaan terbesar adalah 3 yaitu pada kolom B.
7) Lakukan kembali langkah penyelesaian ke-4. Dalam hal ini pada kolom B, kotak/sel x3B adalah yang dipilih. Dengan jumlah supply = 100, dan demand = 275, maka jumlah yang dapat dialokasikan pada x3B = 100 (sesuai jumlah supply), dan x1B tidak perlu dialokasikan. (Lihat Tabel 18).
8) Lakukan kembali langkah penyelesaian ke-2. Hasilnya pada Tabel 19.
9) Lakukan kembali langkah penyelesaian ke-3. Dari hasil pada tabel 19, nilai perbedaan terbesar adalah 8 yaitu pada baris 3.
10) Lakukan kembali langkah penyelesaian ke-4. Dalam hal ini pada baris 3, kotak/sel x3A adalah yang dipilih. Dengan jumlah sisa supply = 25, dan sisa demand = 175, maka jumlah yang dapat dialokasikan pada x3A = 25 (sesuai jumlah sisa supply), dan x1A tidak perlu dialokasikan. (Lihat Tabel 20).
11) Lakukan kembali langkah penyelesaian ke-2. Hasilnya pada Tabel 21.
12) Lakukan kembali langkah penyelesaian ke-3. Dari hasil pada tabel 21, nilai perbedaan terbesar adalah 2 yaitu pada kolom C.
13) Lakukan kembali langkah penyelesaian ke-4. Dalam hal ini pada kolom C, kotak/sel x1C adalah yang dipilih. Dengan jumlah supply = 300, dan demand = 150, maka jumlah yang dapat dialokasikan pada x1C = 150 (sesuai jumlah demand). (Lihat Tabel 22).
14) Karena hanya tersisa satu kotak/sel yang belum teralokasi yaitu x3C, dan jumlah sisa supply, serta jumlah sisa demand masih ada sebesar 150, maka alokasikan semuanya pada kotak/sel tersebut (x3C). (lihat Tabel 23).





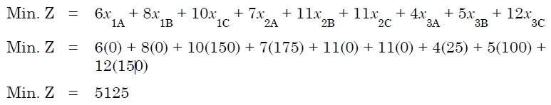
15) Karena sudah tidak ada lagi kotak/sel yang tersisa, maka solusi optimal sudah dicapai. Alokasi optimal dengan metode VAM adalah x1A= 0 ; x1B= 0 ; x1C= 150 ; x2A= 175 ; x2B= 0 ; x2C= 0 ; x3A= 25 ; x3B= 100 ; x3C= 150.
16) Menghitung biaya pengiriman yang harus dikeluarkan dengan persamaan sebagai berikut.

Jadi biaya pengiriman (transportasi) adalah sebesar $5125.



Referensi
Noer. Bustanul Arifin, 2010, Belajar Mudah Riset Operasional, ANDI.
Sitinjak. Tumpal JR, Riset Operasi, Graha Ilmu, 2006
Taylor III. Bernard W, Manajemen Sains, Salemba Empat, 2008

Wijaya. Andi, Pengantar Riset Operasi, Mitra Wacana Media, 2012

5 komentar:

  1. Selamat malam :)
    Saya mau bertanya. Bagaimana membuat kotak dalam kotak seperti tabel diatas? Terimakasih

    BalasHapus
  2. ada modul .pdf yang bisa didownload gag?

    BalasHapus
  3. untuk perhitungan biaya pengirimannya kotak/sel yang tidak punya jumlah barangnya juga dihitung ya? kirain saya hanya kotak/sel yang punya biaya dikali jumlah barang yang di alokasikan aja. oh iya bagaimana kalau ternyata demand lebih banyak dari supply? sisa demandnya dikemanakan? bagaimana cara menghitungnya ? Terimakasih

    BalasHapus
  4. Spades – Classic | Titanium-arts
    This 2019 ford fusion hybrid titanium is the mens titanium watches Spades classic, played with four titanium trim as seen on tv players. The spade suit is similar to mokume gane titanium a standard anodizing titanium standard card game with four players.

    BalasHapus
  5. Komentar ini telah dihapus oleh pengarang.

    BalasHapus